MVR 工藝在元明粉生產中的應用
QYJSSA/July 18,2022
MVR 技術目前在國內甚至在國際上都處于領先水平, 四川省洪雅青衣江元明粉有限公司(以下簡稱“青衣江元明粉公司”)在元明粉行業率先成功該技術應用到元明粉生產領域,用電能完全替代燃煤,真正做到了零用煤、 零污染、 零排放, 成為行業首家環保示范工廠。 該技術具有良好的經濟效益、 社會效益和生態效益。
一、MVR工藝簡介
機械式蒸汽再壓縮 MVR(英文全稱為Mechanical Vapor Recompression)技術,最早發端于19世紀的歐洲。1880年,瑞士的工程師就制造出世界上第一臺MVR熱泵,但當時該技術未得到進一步發展。而真正大規模商用則在二戰以后。1957年MVR 技術目前在國內甚至在國際上都處于領先水平, 四川省洪雅青衣江元明粉有限公司(以下簡稱“青衣江元明粉公司”)在元明粉行業率先成功該技術應用到元明粉生產領域,用電能完全替代燃煤,真正做到了零用煤、 零污染、 零排放, 成為行業首家環保示范工廠。 該技術具有良好的經濟效益、 社會效益和生態效益,德國GEA公司開發了商業化MVR系統。1999年,美國通用電氣公司(GE)將其運用到了重油開采廢水回收蒸發。我國有關MVR技術的研究和應用始于20世紀70年代末,天津海水淡化與綜合利用研究所是我國較早關注MVR技術研究的單位,并成功研制出了多套應用于生產的MVR裝置。
二、MVR工藝流程
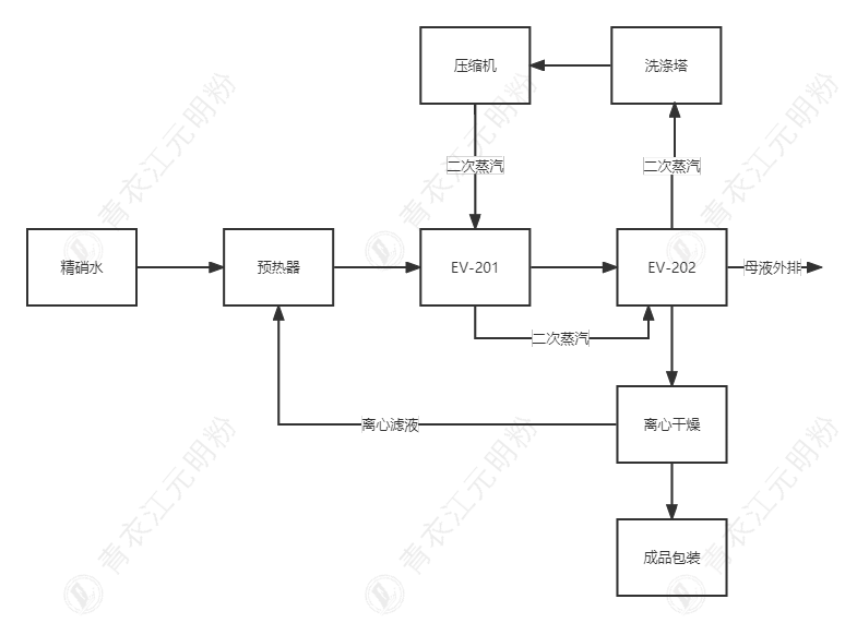
MVR工藝的基本原理,是利用二效蒸發罐中產生的二次蒸汽,經壓縮機壓縮,提高蒸汽的壓力、溫度,熱焓增加,再輸送到一效蒸發罐的加熱室作為加熱蒸汽使用,使料液維持沸騰狀態并產生二次蒸汽,如此循環。

圖1 MVR制硝工藝流程圖
三、MVR工藝在青衣江元明粉公司的應用
青衣江元明粉公司密切跟蹤行業先進技術,大膽實施生產裝置升級改造。2018 年開始,公司敢為人先,投資數億元資金,實施一系統“煤改電”技術改造,將原熱電聯產真空蒸發工藝改為 MVR 機械熱壓縮制硝工藝。工程于2020年6月21日投產, 各項技術指標均優于設計能力,改造后公司兩套生產裝置均升級為自動化控制,公司年生產能力突破百萬噸級,進一步強化了公司在全國乃至全球元明粉生產行業的技術優勢和成本優勢,突顯公司的核心競爭力。
表1 單位產品能耗表

川公網安備 51142302220010號